Công Thức Nguyên Hàm thường khiến nhiều bạn thấy “ngợp” không phải vì khó, mà vì học rời rạc, gặp dạng mới là quên sạch những gì vừa thuộc hôm qua. Nếu bạn gom các công thức theo nhóm, hiểu đúng ý nghĩa của hằng số C và luyện theo cách nhận diện nhanh, mọi thứ sẽ nhẹ nhàng hơn rất nhiều, kiểu như có bản đồ trong tay thay vì mò đường trong sương.
Công Thức Nguyên Hàm và cách hiểu đúng ngay từ đầu
Nguyên hàm là bước đi ngược của đạo hàm, vì thế cảm giác “quen quen” là điều hoàn toàn bình thường, chỉ cần bạn bám vào định nghĩa và kiểm tra lại bằng cách lấy đạo hàm. Trong đề thi, điều quan trọng không phải bạn nhớ càng nhiều càng tốt, mà là bạn nhận ra cấu trúc biểu thức đang “gợi” công thức nào, rồi biến đổi tối thiểu để áp dụng.
Nguyên hàm và tích phân: mối quan hệ bạn cần nhớ
Khi học Công Thức Nguyên Hàm, bạn hãy hình dung đây là kho những đáp án khả dĩ của bài toán đạo hàm ngược, nghĩa là mỗi kết quả luôn đi kèm một “khoảng mờ” mang tên hằng số C. Vì đạo hàm của một hằng số bằng 0, nên hai nguyên hàm có thể khác nhau một hằng số vẫn đúng, và đó là lý do không bao giờ được quên “+ C” trong lời giải.
Để tự tin hơn, bạn có thể kiểm tra nhanh bằng cách lấy đạo hàm lại kết quả vừa tìm, nếu thu về đúng biểu thức ban đầu thì coi như bạn đã khóa chặt đáp án. Thói quen kiểm tra này đặc biệt hữu ích khi bạn vừa đổi biến hoặc vừa rút gọn, vì chỉ cần sai một hệ số nhỏ là đáp án đã lệch sang một “họ” khác.
Ký hiệu và điều kiện thường gặp trong đề

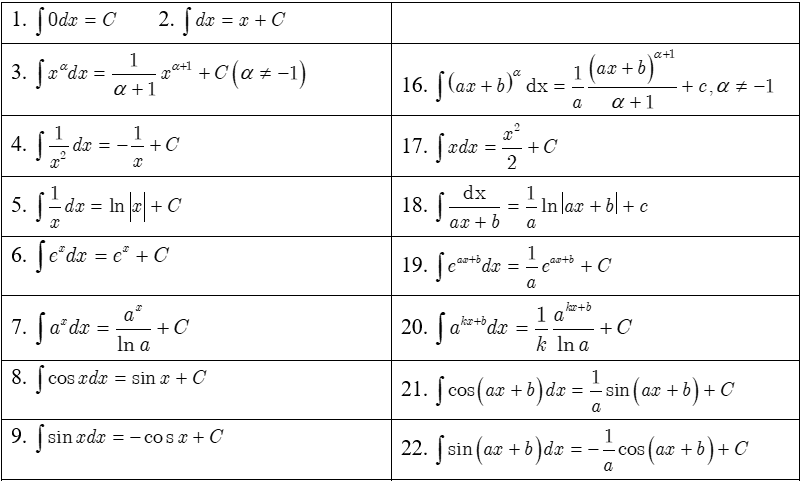
Điểm dễ nhầm của Công Thức Nguyên Hàm nằm ở điều kiện kèm theo, nhất là với lũy thừa và logarit, vì chỉ cần thiếu một dấu giá trị tuyệt đối là đáp án có thể sai ngay từ nền. Chẳng hạn, ∫ 1/x dx = ln|x| + C, còn với ∫ xn dx = x(n+1)/(n+1) + C thì điều kiện n ≠ -1 là ranh giới rất quan trọng, đừng để “mắt lướt nhanh” đánh lừa.
Khi bạn gặp biểu thức dạng (ax + b), hãy luôn nhớ nguyên tắc chia cho hệ số a để cân bằng, vì đạo hàm của (ax + b) là a chứ không phải 1. Với Công Thức Nguyên Hàm, việc cẩn thận ở những chi tiết nhỏ như vậy giúp bạn giải nhanh mà vẫn chắc, thay vì làm nhanh rồi sửa sai rất tốn thời gian.
Nhóm công thức cơ bản: học theo “gia đình” hàm số
Nếu bạn từng học từ vựng ngoại ngữ theo chủ đề, thì công thức toán cũng có cách học tương tự, gom theo “gia đình” để não tự xếp chúng vào cùng một ngăn. Khi đã quen nhóm cơ bản, bạn chỉ cần luyện thêm nhận diện dạng và vài phép biến đổi nhẹ là đủ bước sang các bài “lắt léo” hơn.
Lũy thừa, đa thức và phân thức đơn giản

Với Công Thức Nguyên Hàm nhóm lũy thừa, bạn chỉ cần nắm chắc ba mảnh ghép: ∫ xn dx = x(n+1)/(n+1) + C (n ≠ -1); ∫ 1/x dx = ln|x| + C; và nếu gặp (ax + b)n thì kết quả sẽ là (ax + b)(n+1) / (a(n+1)) + C. Khi nhìn đa thức, bạn tách từng hạng tử rồi áp dụng tuyến tính, vì nguyên hàm của tổng bằng tổng các nguyên hàm.
Một mẹo nhỏ là luôn kiểm tra hệ số sau khi tích phân, nhất là khi bạn vừa rút gọn hoặc vừa tách phân thức, vì nhiều bạn hay quên chia cho (n+1) hoặc quên hệ số a. Khi luyện đủ nhiều, Công Thức Nguyên Hàm nhóm này sẽ trở thành phản xạ, nhìn thấy x^5 hay (3x−2)^4 là tay tự “chạy” công thức mà không cần nghĩ lâu.
Mũ, logarit và mẹo “nhìn là ra”
Trong Công Thức Nguyên Hàm nhóm mũ–log, thứ bạn cần nhớ là tốc độ “tăng” của hàm mũ và cách log xuất hiện như một “đáp án tự nhiên” của phân thức đặc biệt. Các công thức hay gặp gồm: ∫ ex dx = ex + C; ∫ ax dx = ax/ln a + C (a>0, a≠1); và nếu là e^(ax+b) thì bạn chia thêm cho a để cân hệ số.
Điểm thú vị là dạng f’(x)/f(x) luôn gợi đến ln|f(x)|, nên chỉ cần bạn nhìn thấy tử giống đạo hàm mẫu là gần như có đường đi rõ ràng. Khi đã quen nhịp này, Công Thức Nguyên Hàm không còn là “thuộc lòng”, mà giống như trò ghép hình: nhận miếng đúng hình dạng rồi đặt vào đúng chỗ.
Nhóm lượng giác và biến đổi hay dùng

Lượng giác hay làm người học khó chịu vì công thức nhiều và dễ “trộn” với đạo hàm, nhưng thật ra nếu bạn nhớ theo cặp đối xứng và làm chậm ở bước biến đổi, mọi thứ vẫn rất gọn. Phần này thường ăn điểm trong đề vì chỉ cần đúng công thức và đúng dấu là ra đáp án, không đòi hỏi mẹo quá phức tạp.
Các nguyên hàm lượng giác cơ bản
Khi ôn Công Thức Nguyên Hàm lượng giác, bạn nên học theo cặp: ∫ sin x dx = −cos x + C và ∫ cos x dx = sin x + C, vì hai công thức này như hai mặt của một đồng xu. Tiếp theo là ∫ 1/cos2 x dx = tan x + C và ∫ 1/sin2 x dx = −cot x + C, chúng xuất hiện khá thường xuyên trong bài đổi biến hoặc khi rút gọn phân thức lượng giác.
Một điểm dễ nhầm là dấu âm ở nguyên hàm của sin và ở 1/sin^2 x, vì chỉ cần sai dấu là kéo theo sai cả chuỗi kết quả phía sau. Nếu bạn thấy biểu thức có dạng sin(ax+b) hoặc cos(ax+b), hãy nhớ chia cho a, vì đó là cách giữ cho đạo hàm bên trong không “phá” nhịp công thức.
Biến đổi lượng giác: tách, ghép, đổi dạng
Nhiều bài lượng giác không đưa công thức “nguyên bản” mà bắt bạn biến đổi trước, và lúc đó Công Thức Nguyên Hàm chỉ phát huy khi bạn chịu khó đổi dạng một bước. Những biến đổi hay dùng là 1 + tan2 x = 1/cos2 x, hoặc sin2 x = (1−cos 2x)/2 và cos2 x = (1+cos 2x)/2, vì chúng biến bình phương thành dạng cộng trừ dễ tích phân hơn.
Khi gặp sin x cos x, bạn có thể đưa về (1/2)sin 2x để bài toán gọn đi thấy rõ, thay vì giữ hai hàm nhân nhau rồi loay hoay. Luyện kiểu “biến đổi tối thiểu” sẽ giúp bạn dùng Công Thức Nguyên Hàm đúng lúc, không sa đà vào những bước rút gọn dài và dễ sai.
Kỹ thuật áp dụng và chiến lược làm bài hiệu quả
Đến đoạn này, bạn không cần nhồi thêm quá nhiều công thức mới, mà cần một quy trình: nhìn dạng, chọn kỹ thuật, rồi kiểm tra lại bằng đạo hàm. Khi có quy trình, bạn sẽ bớt cảm giác hên xui, làm bài trắc nghiệm cũng nhanh mà làm tự luận cũng chắc.
Đổi biến: khi nào nên “thay áo” cho biểu thức
Đổi biến thường xuất hiện khi bạn thấy một hàm “bên trong” kèm theo đạo hàm của nó lấp ló ở đâu đó, và Công Thức Nguyên Hàm lúc này đóng vai trò như chiếc khóa mở đúng ổ. Chẳng hạn, với ∫ (2x+1)5 dx, đặt t = 2x+1 thì dt = 2dx, bạn biến bài toán về dạng ∫ t5 dt rồi quay lại, mọi thứ gọn hơn rất nhiều so với việc cố tích phân trực tiếp.
Điều đáng nhớ là sau khi đặt biến, bạn phải đổi toàn bộ dx và giới hạn (nếu có), đồng thời xử lý hệ số cho sạch trước khi tích phân. Khi bạn dùng Công Thức Nguyên Hàm kết hợp đổi biến, hãy tự hỏi “tử có phải là đạo hàm của phần trong không”, câu hỏi nhỏ này giúp bạn quyết định rất nhanh nên đổi biến hay chỉ cần biến đổi đại số nhẹ.
Tích phân từng phần và phân tích: lối thoát cuối cùng
Với những bài dạng x·e^x, x·sin x, hoặc ln x, bạn sẽ gặp kỹ thuật từng phần, và Công Thức Nguyên Hàm lúc này là nền để bạn tích phân phần còn lại sau khi đã “chuyển” độ khó sang vế kia. Công thức cốt lõi là ∫ u dv = u·v − ∫ v du, nghe thì ngắn nhưng để dùng tốt bạn cần chọn u sao cho du đơn giản hơn, còn dv thì dễ tích phân cùng với sieuthivape.vn.
Ngoài ra, phân tích thành tổng các phân thức đơn giản (partial fractions) cũng là cách đưa biểu thức về những dạng quen thuộc như 1/(x−a) hoặc 1/(x2+a2). Khi bạn đã có thói quen đưa bài toán về dạng chuẩn, Công Thức Nguyên Hàm sẽ giống một bộ “phím tắt” đúng nghĩa, giúp bạn xử lý bài khó theo lối chắc chắn thay vì dựa vào may mắn.
