Lưu trữ Danh mục: Nội dung mới
Bún Đậu Mắm Tôm: Review cách làm tại nhà thơm bùi, chuẩn vị
Bún Đậu Mắm Tôm là kiểu món ăn “gọi là thèm” rất nhanh: vừa nghĩ...
Th1
Chat GPT 4.0: Cập nhật mới và mẹo dùng hiệu quả nhất
Chat GPT 4.0 thường được chọn khi bạn cần câu trả lời chắc tay hơn,...
Th1
Còn Bao Nhiêu Ngày Nữa Đến Tết: Ý nghĩa Tết Việt Nam
Còn Bao Nhiêu Ngày Nữa Đến Tết không chỉ là một câu hỏi để xem...
Th1
Concung: Review thời trang CF cho mẹ bầu và bé yêu
Concung là lựa chọn quen thuộc của nhiều gia đình khi cần mua sắm cho...
Th1
Thanhlau: Hướng dẫn sức khỏe giới tính cho giới trẻ
Thanhlau là một từ khóa thường được nhắc tới khi nói về các trang web...
Th1
Bao Nhiêu Ngày Nữa Đến Tết: Trọn vẹn không khí sum vầy
Bao Nhiêu Ngày Nữa Đến Tết thường xuất hiện dày đặc khi lịch làm việc...
Th1
Spicychat là gì? Mẹo dùng AI chat an toàn và hiệu quả
Spicychat là gì là câu hỏi phổ biến khi nhiều người bắt đầu tìm một...
Th1
Bệnh Viện Tâm Anh: Review dịch vụ & trải nghiệm khám
Bệnh Viện Tâm Anh là lựa chọn được nhiều người cân nhắc khi muốn khám...
Th1
Gvnvh18: Game 18+ Việt hóa chọn lọc, an toàn cho bạn
Gvnvh18 là từ khóa thường được người chơi dùng để tìm các tựa game 18+...
Th1
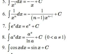
Công Thức Đạo Hàm: Tổng hợp quy tắc và bảng nhanh
Công Thức Đạo Hàm là nền tảng quan trọng của giải tích, giúp bạn tính...
Th1
Violympic là gì? Review sân chơi thi trực tuyến toàn quốc
Violympic là gì là thắc mắc phổ biến khi phụ huynh muốn tìm một sân...
Th1
Cafef là gì: Tổng quan trang tin tài chính Việt Nam
Cafef là gì là thắc mắc phổ biến của người mới theo dõi kinh tế...
Th1
